MANAGERIAL SUMMARY
Measuring innovation in the wine industry is hard not only due to broad, abstract, and ambiguous connotations of the term “innovation” but also owing to peculiar characteristics of the wine industry, which complicate data collection, model building, and analysis. Moreover, innovation activities are often seen as business secrets, which considerably limits the exchange of information among fairms and with researchers, slowing down the diffusion of innovation within the wine industry. Despite these challenges, innovation may provide significant value to the industry; however, wine researchers need to convince practitioners that innovation may lead to competitive advantage and bring financial success. We believe that as both the quantity and quality of innovation-related wine research improves, the role that innovation plays in the wine industry would be clearer.
In this study, we provide a systematic review of the relevant wine business literature that consists of 76 studies published since 1991. While providing a narrative review of qualitative studies to identify common wine innovation types and forms, we perform a meta-analysis on the quantitative studies that report usable/convertible effect sizes for pairwise relationships between six commonly used variables (i.e., absorptive capacity, technology adoption, sustainable practices, export orientation, firm size, and firm age) and innovation, as well as the association between innovation and financial performance. Our analysis reveals that absorptive capacity, technology adoption, sustainable practices, export orientation, and firm size are positively correlated with innovation efforts, and innovation is positively associated with financial performance. Furthermore, we find that firm size moderates the relationship between absorptive capacity and innovation. We discuss several managerial and policy implications of our analysis and make a series of recommendations for future research avenues.
Our managerial recommendations include 1) engaging in innovative practices and collaborating with researchers, particularly in quantitative research projects, 2) prioritizing eco-innovation activities, 3) adopting emerging industry 4.0 technologies, 4) investing in absorptive capacity, and 5) increasing export-orientation and international visibility.
We suggest future quantitative studies to explore the impacts of 1) links to research institutions, 2) patent ownership, 3) and other variables, such as proximity, corporate social responsibility, national and international regulations, R&D subsidies by governments, competitive pressures from stakeholders, and the managerial perceptions regarding innovation and financial performance. We also recommend researchers consider conducting MASEM, which currently does not exist in the literature. We recommend future qualitative research efforts to focus on clearly defining and classifying innovation in the wine sector and comparing the performances of wine supply chains before, during, and after the pandemic to exemplify how innovation has helped wine firms recover from disruptions caused by the pandemic. Finally, to mitigate the negative impacts of the recent pandemic on wine supply chains, we suggest that wine business research should benefit from interdisciplinary studies more, particularly with operations management and supply chain management fields.
INTRODUCTION
Innovation is a broad and abstract term with multiple connotations. Innovation may simply mean a new idea, method, process, product, or technology. However, a key component of a general definition of innovation is that it must be implemented so that either a new product is made available to potential users or a new process is put into use in organizational operations (Gault, 2018). Organizational adoption of innovations is intended to increase organizational effectiveness or performance either in response to or as a preemptive action to changes in its internal or external environment (Damanpour, 1991). The pandemic drastically affected the global supply chain that serves wine and wine-related businesses in 2020. Yet, most wine businesses avoided major disruptions and learned that better planning is necessary during environmental uncertainty (Penn, 2021). Hence, introducing innovative methods, products, and services remains essential for wine business survival and success.
From a business perspective, innovation is a novel solution to a practical problem that generates financial and/or social value (Kavadias & Ulrich, 2020). This definition emphasizes three essential features of business innovations:
-
Innovations stem from practical needs.
-
Innovations offer practical solutions.
-
If successful, innovations provide some form of value to its stakeholders.
However, innovation is somewhat difficult to measure. Aside from its ambiguous connotations, innovation is also hard to assess due to its spill-over and synergistic amplification effects (i.e., the combined impact of distinct innovative practices in a firm might be larger than the sum of the individual effects of these innovative practices).
Management science literature usually breaks this broad concept into smaller parts to decrease abstraction and mitigate this measurement problem. Studies either treat innovation as a function-specific variable (i.e., production, logistics, marketing, and service innovation, etc.) (Faccin et al., 2017) or distinguish between process vs. product innovation (Murovec & Prodan, 2008; Presenza et al., 2017; Utterback & Abernathy, 1975), incremental vs. radical innovation (Ettlie et al., 1984), conventional vs. eco-innovation (Frigon et al., 2020), or internal vs. external innovation (Kavadias & Ulrich, 2020).
Measuring innovation in the wine industry is more problematic than other industries due to peculiar characteristics of the wine industry, such as relatively high concentration of small and medium-sized enterprises (SME) (Lorenzo et al., 2018), widespread family ownership (Gilinsky et al., 2016), terroir-dependency of wine production (Van Leeuwen & Seguin, 2006; Vaudour, 2002), orientation toward tradition (Vrontis et al., 2016), fragmented business and knowledge networks (Tyler et al., 2020), and reliance on tacit information (Woodfield & Husted, 2017). These industry-specific characteristics complicate data collection, model building, and analysis. Furthermore, innovation activities are often seen as business secrets, which considerably limits the exchange of information among firms and with researchers, slowing down the diffusion of innovation within the industry.
This study provides a comprehensive review of research since 1991 that addresses wine business innovation, its forms, and its outcomes. In addition to basic text analytics and narrative review techniques, we conduct a meta-analysis of quantitative studies investigating the role of innovation in the wine industry. To the best of our knowledge, there is no meta-analysis on wine innovation. Therefore, our study aims to fill this gap in the literature. We believe that wine researchers and practitioners would greatly benefit from our systematic literature review, discussion on managerial and policy implications, and suggestions for future research.
The research questions that motivate our study are as follows: How strong is the link between innovation and financial performance in the context of the wine industry? What are the factors associated with and common forms of wine industry innovation? What research gaps and future research avenues exist in the wine innovation literature?
Our meta-analysis reveals a positive correlation between innovation and financial performance. Furthermore, we find positive associations between specific determinants (i.e., sustainable practices, technology adoption, absorptive capacity, firm size, and export orientation) and innovation. However, we find no correlation between firm age and innovation.
We organize the rest of the paper as follows. The following section (Section 2) discusses prominent theories that guide wine business research. The methods section (Section 3) summarizes our systematic study search procedure, provides descriptive statistics about the study pool, and introduces our meta-analytic approach. Section 4 provides the results of our meta-analysis and moderator analysis. Section 5 discusses managerial and policy implications, identifies gaps in the literature, and makes recommendations on potential future research efforts. Section 6 concludes the paper summarizing our findings and discusses limitations.
THEORETICAL DISCUSSION
This section discusses prominent theories that guide wine innovation: Resource- & knowledge-based views and sustainability & eco-innovation theories.
Resource and Knowledge-Based Views
The resource-based view (RBV), the leading theory used to explain wine innovation, argues that competitiveness and financial success are primarily determined by firms’ internal resources (Barney, 1991). These internal resources include quality of HR (i.e., formal education, skills, and training), technological capabilities, financial assets, and R&D activities (Cohen & Levinthal, 1990; Galbreath, 2005). Firms gain a competitive advantage by managing and strategically investing in these endogenous capabilities. For instance, firms may include sustainable practices that lead to operational efficiencies to improve their performance (Barney, 1999). Furthermore, Atkin & Johnson (2010) show that forming alliances for marketing purposes could be an effective strategy to gain a competitive advantage. A fundamental assumption in RBV is that as the firm size increases, innovation capacity increases. Therefore, large firms are considered more advantageous than small and medium sized enterprises (SMEs) due to their extensive pool of high-quality HR, substantial financial assets, and sizable technological infrastructure.
Some studies challenge the classical RBV by providing a different perspective. For instance, Humphreys & Carpenter (2018) point out that some large and established market-driving wine firms achieve competitive advantage by playing a status game rather than strategically investing in their endogenous resources and innovative practices. Contrary to market-driven firms that rely on consumer information as a key input to develop innovative strategies and techniques, status-driven (market driving) firms seek to shape consumer preferences by creating a vision, employing celebrity winemakers, influencing critics and media, and affecting retail sales by promoting scores by critics and form alliances to maintain and enhance their status (Humphreys & Carpenter, 2018). One may argue that playing a status game itself may require significant resources, so the argument does not refute RBV but intends to clearly distinguish how resources are utilized to gain competitive advantage by status- and market-driven firms. This debate is still an open question.
Knowledge-based view (KBV), a derivation of RBV, considers knowledge as the most crucial asset of a firm that pursues a competitive advantage via innovation (Grant, 2015; Woodfield & Husted, 2017). This theory argues that knowledge base (KB) is a function of technical expertise, education level, HR training, technological capabilities, and R&D efforts. The central assumption is that the larger the KB, the more likely the innovation is. Recent knowledge-based studies find that innovation does not diffuse evenly on a par with proximity; instead, it spreads in a highly selective manner in proportion to the size of knowledge bases (KB) of heterogeneous firms. Firms with distinct KBs make up knowledge networks (KN). KN differs from a business network (BN) because the former is established selectively considering the relative capacities of firms, whereas the latter represents a pervasive structure that brings nearby firms that operate in the same sector together where hierarchy is less important. Giuliani (2007) finds that the structure of KNs significantly differs from that of BNs such that diffusion of innovation is more uneven in the former, and firms with stronger KBs are more likely to be central in the KN.
Some studies examine the impact of the inter-generational exchange of tacit information on innovative capacity. For instance, Woodfield & Husted (2017) find that bi-directional exchange of information between generations in family firms is critical for innovation. They state that transferring the incumbent’s experience-based tacit knowledge to the successor is necessary but not sufficient for maintaining and improving innovative capacity. The successor should also share up-to-date information gained via education with the incumbent. Finally, within this stream of research, the roles that academic institutions play in wine-related innovation via firm-university linkages has attracted some attention, but results are quite country-dependent. For example, Giuliani & Arza (2009) find that in Chile, the stronger the firms’ KB and higher the university’s scientific quality, the more likely a university-industry linkage is. However, in Italy, the results are almost reversed. In both Chile and Italy, the stronger the KBs of firms with connections to universities, the higher the diffusion of innovation (Giuliani & Arza, 2009).
Sustainability and Eco-Innovation Theories
In broadest terms, sustainability is the ability of a firm to use its resources without harming the ecological system in meeting the wants and needs of customers. Sustainability theory (ST), which has emerged in reaction to the classical myopic profit-maximizing firm behavior, argues that firms should be farsighted in distributing resources more equitably between generations to enable sustainable development. Harsh economic competition leads to the accelerated use of non-renewable energy sources, which changes the climate, negatively affecting agricultural practices, including wine production.
Rooted mainly in ST, eco-innovation theory (EIT) asserts that firms should care about the long-lasting impacts of innovations on our biosphere and future generations. Due to its close relationship with the terroir, the wine industry is one of the sectors that eco-innovation has a significant value potential. As defined by Kemp & Pearson (2007), eco-innovation is “the production, assimilation or exploitation of a product, production process, service or management or business method that is novel to the organization (developing or adopting it) and which results, throughout its life cycle, in a reduction of environmental risk, pollution and other negative impacts of resource use (including energy use) compared to relevant alternatives.” As scientific studies in environmental sciences, earth and planetary sciences, agriculture, biology, chemistry, and material sciences point out, the earth system and its constituent subsystems are governed by complex and dynamic interactions between biological systems, materials, and energy. The prolonged co-existence of our biosphere and civilizations requires social, environmental, and economic sustainability. Various endogenous and exogenous factors affect the ecological behavior of a firm.
The roles that integrated environmental management systems (EMS) play in improving firm outcomes, sustainable practices, and eco-innovations have attracted some attention in the EIT literature. For instance, Sroufe (2009) demonstrates that the EMS positively impacts specific operational performance metrics, such as quality, reduced cost, and international sales. Atkin et al. (2012) find that wine firms with a clear EMS exhibit significantly different cost leadership and differentiation strategies. They state that wineries with a clear EMS are more likely to increase their sustainability commitments, enter new markets, and operate more efficiently than those without a clear EMS. Melnyk et al. (2003) point out that firm age, size, and ownership type are related to investments in EMS. Gilinsky et al. (2008) indicate a propensity to invest in EMS innovations by young entrepreneurial agricultural businesses.
METHODS
Search Procedure, Inclusion Criteria, and Final Sample of Studies
Figure 1 illustrates our systematic review procedure. We first conduct a search for studies published in English since 1991 that contain combinations of “wine,” “innovation,” “eco-innovation,” “green innovation,” “sustainability,” and “pandemic” in the title, abstract, and the article text on Google Scholar and EBSCO databases, excluding citations and patents. This initial search yields 156 candidate studies. Although the wine business literature is quite vast, studies that focus on innovation is quite limited because of the peculiar characteristics of the wine industry, as discussed in the Introduction section. We perform an initial screening to exclude 1) computational studies that use mathematical modeling techniques, such as optimal scheduling of wine bottling operations, and 2) studies that are too specific or technical, such as studies that measure the impact of a specific microbiological ingredient on wine quality. While screening the candidate studies, we also check if a study fits well to the scope of the special issue. After this meticulous examination process, we identify the most relevant 76 wine business studies as our study pool.
We first perform preliminary text analytics on all 76 articles to provide insight into the last 30 years’ research efforts on wine innovation. We then classify this study pool based on five criteria: theory, methodology, independent variable(s), dependent variable(s), and major contribution. This classification helps us categorize studies as either quantitative or qualitative and identify research gaps. We classify 35 articles as qualitative and 41 studies as quantitative. We use qualitative studies to perform a narrative review to identify common wine innovation types and forms addressed in the literature. Quantitative studies that report usable/convertible effect sizes of interest are used in the meta-analysis. Out of 41 quantitative studies, only 21 studies report usable/convertible effect sizes.
Overview of the Study Pool
We provide the detailed classification of the quantitative and qualitative articles in the study pool in Tables A2 and A3 in the Appendix, respectively. To save space, we use some abbreviations, the list of which is also presented in the Appendix (see Table A1). To give the reader a flavor of our study pool, we provide descriptive statistics using the bar and pie charts in Figure 2.
The bar charts illustrate the frequency of studies by country and by period. As can be seen, Italy, the USA, Spain, Canada, Australia, and France are relatively better represented than other countries, and the number of relevant wine studies increases over time (i.e., the majority of wine studies published between 2013-2020). There are more quantitative studies in the study pool than qualitative studies (53.9% opposed to 46.1%). The prominent theories that provide bases to these studies are resource-based view (RBV), knowledge-based view (KBV), sustainability theory (ST), eco-innovation theory (EIT), and geographical proximity theory (GPT). The most frequently applied quantitative methodologies are exploratory data analysis (EDA), followed by principal component analysis (PCA), ordinary least squares (OLS) regression, cluster analysis, logistic regression. Widely adopted qualitative research methodologies are surveys, interviews, reviews, and case studies.
Text Analytics
Figure 3 depicts a word cloud of the study pool. The word cloud attaches higher importance to high-frequency words in the text, representing them bigger and bolder than less important ones.
Figure 4 summarizes basic text analytics conducted on the titles, abstracts, keywords, and main bodies of all study pool articles. The left figure (Figure 4a) illustrates the frequencies of innovation types categorized by quantitative and qualitative articles. As can be seen, the most frequently discussed innovation type is green or eco-innovation, followed by product, marketing, process, conventional, and logistics/delivery innovations. Another interesting finding is that quantitative studies more frequently mention innovation than qualitative studies in all categories. The right figure (Figure 4b) depicts the frequencies of most repeated keywords by study type. The keyword “wine” has the highest frequency (as expected), followed by “sustainability,” “innovation,” “information,” and “performance.” Some of these keywords, such as “wine,” “family,” “COVID-19”, “terroir,” and “tacit,” are used more often in qualitative studies than quantitative studies. These findings are consistent with a recent bibliometric review of 213 Web of Science wine innovation articles by Porto-Gómez et al. (2020). The researchers’ review assessed the topics discussed and discovered that non-technological innovation is the most researched topic, while product innovation is focused primarily on consumer demand for wine; sustainability and sustainable innovation are both gaining relevance.
Narrative Review
Using NVivo software, we classify common forms of innovation in the qualitative studies according to the four types of innovation described by Gault (2018, p. 619): product innovation, production or delivery innovation, organizational innovation, and marketing/communication innovation. The narrative review approach is designed for topics that hinder a full systematic review (Snyder, 2019) and may provide valuable insights (Baumeister & Leary, 1997). We summarize the results in Table 1.
We limit our coding of the forms to only those papers that had used wine business data in their analyses. Production or delivery innovation is the most common type of innovation (mentioned 76% of the articles), followed by product innovation (70%), marketing/communication innovation (40%), and organizational innovation (26%).
Meta-Analysis
After this broad summary, we turn to our meta-analysis, which uses a subset of quantitative studies (21 out of 41 articles) that report usable/convertible effects sizes (60 effect sizes in total). Developed by Hunter et al. (1981), the meta-analytic approach is a high level, systematic, and replicable methodology that synthesizes many quantitative empirical studies in a scientific field to draw broad statistical conclusions about the magnitude and direction of relationships between variables of interest (Hunter & Schmidt, 1990, 2000, 2004). This study uses two R packages (metafor and robumeta) to conduct the meta-analysis illustrated in Figure 5.
Following the meta-analysis methodology, we investigate a single relationship at a time. Since the wine studies are drawn from different populations with substantial heterogeneity, we use random-effects models, which assign less weight to larger studies with smaller variance (Quintana, 2015). Heterogeneity refers to the between-study variation (high heterogeneity requires a random effect model). We report I2 statistic as the measure of heterogeneity. I2 is a performance statistic that indicates the percentage of variance attributable to study heterogeneity rather than chance. Unlike the Q-statistic, I2 is not sensitive to the number of studies included in the analysis (Quintana, 2015). We select Pearson correlation coefficient (r) as the primary effect size since it is a standard metric reported in most studies in our study pool and is relatively easier to interpret than other metrics. If a study does not report r but reports another convertible effect size (i.e., F-statistic, t-statistic, odds ratio, partial eta squared, and Kendall’s tau), we transform them into Pearson correlation coefficients (Hu & Yang, 2021; Lipsey & Wilson, 2001; Peterson & Brown, 2005; Walker, 2003) using the formula provided in the Appendix (Table A4 and Figure A2). Finally, we perform a moderator analysis using firm size (average number of employees), firm age (average firm age in years), geography (whether a sample belongs to an old world or new world country), and publication quality (whether a study is published in a 1st Tier or 2nd Tier outlet) as the moderator variables.
Variable Definitions and Measurement
In this subsection, we define the variables in Figure 5 and exemplify how they are measured. It is important to note that there are variables that we could not include in our analysis due to insufficient number of studies, such as proximity, corporate social responsibility, government subsidies and tax cuts, national and international regulations, competitive pressures, and perceptions of managers. Although some of these measures are well studied in other industries, their impacts on wine innovation and financial performance have attracted relatively less attention.
Innovation. As mentioned earlier, studies either use “innovation” as a generic term or use different innovation classifications (i.e., product vs. process innovation and conventional vs. eco-innovation). To ensure consistency and prevent over-representation of a single study in the meta-analysis, we use only one effect size per study for each relationship pair. For instance, if a study reports multiple effect sizes coming from the same sample, each corresponding to a specific class of innovation (i.e., product vs. process innovation or green vs. conventional innovation), we use the effect sizes that correspond to “product innovation” and “green/eco-innovation”, respectively, since green/eco- and product innovations are the most frequently mentioned innovation categories in the study pool (Figure 4). The only exception is a study by Giuliani & Arza (2009), who report two sets of effect sizes coming from two distinct wine clusters, Italy and Chile, respectively.
Financial performance. Financial performance is a continuous measure that indicates how successfully and efficiently a firm utilizes its resources to maximize its revenue. Common metrics to measure financial performance include the volume of wine sales (Galbreath et al., 2016), profit (Lorenzo et al., 2018), market share (Guerrero-Villegas et al., 2018), return on assets (Pradana et al., 2020), subjective evaluation of last 5-year’s financial performance in comparison to similar firms (Knight et al., 2019), and cost-reduction as a result of employing an innovation (Annunziata et al., 2018).
Absorptive capacity. Absorptive capacity is the ability of a firm to embrace, assimilate, and apply new knowledge for commercial ends (Cohen & Levinthal, 1990). R&D efforts and/or expenditures (Stasi et al., 2016), quality of HR (Giuliani & Arza, 2009; Giuliani & Bell, 2005), patent ownership (Ahn et al., 2013), knowledge acquisition and assimilation efforts (Pradana et al., 2020), and relationships with external knowledge sources, such as universities (Presenza et al., 2017) are often used to measure absorptive capacity. For instance, Giuliani & Arza (2009) measure absorptive capacity (knowledge base) as a function (weighted average) of three distinct variables: formal training of HR (a continuous variable calculated using a weighted average formula), HR national and international experience in months (a continuous variable calculated using another weighted average formula), and experimentation effort (a categorical variable measured from 0 to 4).
Technology adoption. Adopting technologies, such as wine machinery, biotechnologies, biosensors, and other wine-making techniques, are considered good predictors of innovation (Stasi et al., 2016). Though falling behind other sectors, automation in the wine industry has gained traction in the last decade with advancements in AI, robotics, sensor, and other Industry 4.0 technologies. Technology adoption is often measured via survey questions on whether a firm adopts a particular technology or not, so it is often treated as a binary or a categorical variable (Annunziata et al., 2018).
Sustainable practices. Common sustainable practices are organizational policies (i.e., environmental policy statement, environmental purchasing policy, etc.), procedures (i.e., collecting data related to ecological issues, supplier selection based on environmental criteria, engaging in environmental audits, etc.), strategies (i.e., eco-labeling, promoting eco-certification, strategic goals for reducing waste and carbon emissions, etc.), and other environmental applications, such as environmental management system, restoring contaminated soil, using recycled material (Guerrero-Villegas et al., 2018), monitoring emissions (Galbreath et al., 2016), use of frugal irrigation systems (Fiore et al., 2017), environmental disclosure (Knight et al., 2019), and using renewable sources of energy (Annunziata et al., 2018). Sustainable practices are typically measured via surveys and are often treated as a categorical variable.
Export orientation. Export orientation is a continuous measure to identify a firm’s primary growth strategy, usually reflected as a ratio of exports to total sales (exports + domestic sales) (Maurel, 2009). The larger the sales are to other countries, the higher the export orientation is (Annunziata et al., 2018).
Firm size. Firm size is typically measured either by the log number of employees (Annunziata et al., 2018), the amount of wine production (Galbreath et al., 2016), total sales, or total assets (Guerrero-Villegas et al., 2018).
Firm age. Firm age measures the cumulative time in years since the firm was founded. Most studies use the log firm age to mitigate considerable variation in firm ages.
Moderator Variables. We examine four moderator variables: firm size, firm age, geography, and publication quality. To measure firm size, we use the average number of employees reported by these studies. To account for inherent variation in firm sizes and ages, we take the log of these measures (if not already taken). Geography and publication quality are categorical variables. To investigate the impact of geography, we classify studies as either “New World” or “Old World” studies. We also group each study as either 1st or 2nd Tier. We primarily use the ABDC Journal Quality List for this classification. If an academic journal is not listed in the ABDC Journal Quality List, we turn to other lists and global metrics, such as Harzing – ABS 2021, JCR 2021, and h5-index. Journals that are rated and above are classified as 1st Tier, whereas journals rated below are classified as 2nd Tier.
RESULTS
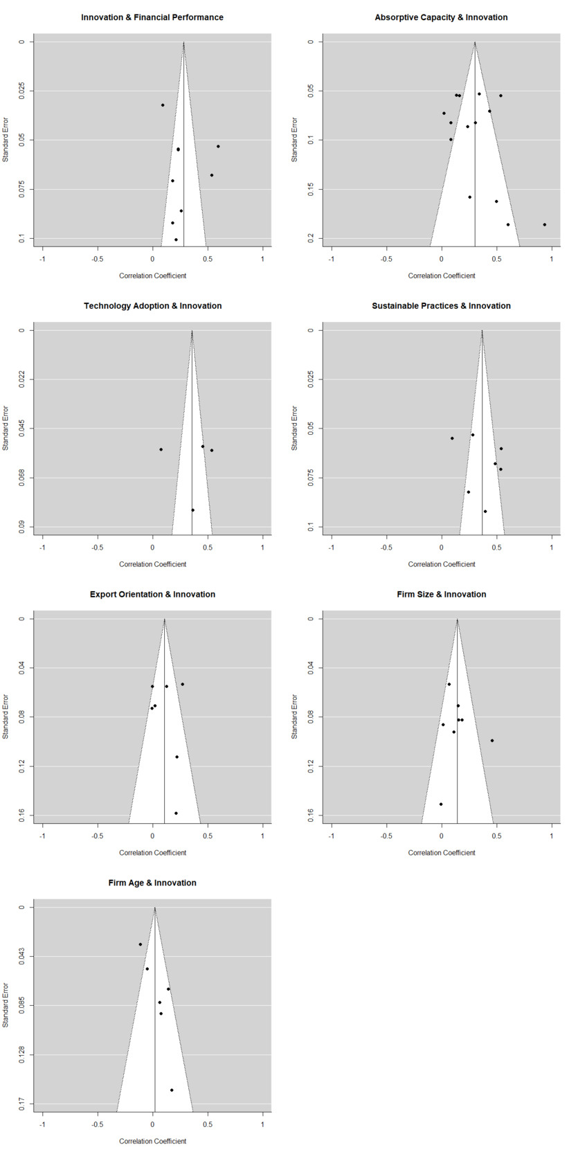
Table 2 summarizes meta-analysis results (please see Figure A1 in the Appendix for the individual forest plots). We use funnel plots, Egger’s regression, and rank tests to assess potential publication bias (please see Table A5 and Figure A3 in the Appendix). Results indicate small publication biases related to group of studies corresponding to 1) absorptive capacity and innovation, and 2) firm age and innovation. After adjusting for publication bias using the Vevea and Hedges weight-function model, our initial estimate for the relationship between absorptive capacity and innovation decreases to whereas the initial estimate for the correlation between firm age and innovation increases to However, even after the adjustment, the correlation between firm age and innovation remains insignificant.
All I2 values indicate substantial heterogeneity. When we compare estimated average effect sizes sustainable practices technology adoption absorptive capacity firm size and export orientation appear to have relatively the largest and statistically significant effects on innovation.
The relatively large correlation between sustainable practices and innovation is meaningful as most studies in our study pool focus on green innovation (Figure 4). Some of these studies find significant associations between the two variables (see the corresponding forest plot). Furthermore, in practice, green/eco-innovations constitute a relatively large segment of innovations implemented by wine firms due to the close ties of winemaking to terroir. The large positive association between technology adoption and innovation is intuitive since implementing innovative practices often requires new technologies, and technology adoption typically speeds up the existing innovations. The medium positive correlation between absorptive capacity and innovation emphasizes the importance of yet another duality: on the one hand, increased absorptive capacity may create a more conducive atmosphere for innovations to take place; on the other, innovative practices may lead to increased absorptive capacity by attracting highly skilled labor, granting new patents, and expanding existing R&D activity. The medium positive association between firm size and innovation is intuitive due to the inherent correlation between firm size and absorptive capacity (please see the moderator analysis). Finally, the small positive association between export orientation and innovation highlights the link between external openness and innovative practices.
The analysis also reveals a significant positive association between innovation and financial performance This finding is important since it justifies that the individual positive associations previously identified by each of the nine studies in the analysis collectively point out a significant positive correlation between innovation and financial performance. This result has two implications. First, wine firms that achieve higher financial performance may be more likely to engage in innovative practices. Second, successful innovative practices may translate into financial success. We find no correlation between firm age and innovation. One explanation could be that established wine firms usually have larger resources to innovate; however, they may be more tradition-oriented, whereas younger firms may be more innovation-driven despite lacking the necessary resources to innovate.
Finally, we also investigate the relationship between links to research institutions and innovation. Conventional wisdom suggests that the stronger the links to research institutions, the more likely the innovation is. However, when we conduct a meta-analysis on this relationship using the existing studies, we find a small correlation which is not statistically significant. Furthermore, the corresponding value is 0%, indicating no heterogeneity. This is because of the small number of studies with effect sizes located close to zero (please see the corresponding forest plot). Therefore, we exclude this measure from the analysis.
Moderator Analysis
Table 3 provides a summary of moderator analysis results. We find only two statistically significant moderating effects. First, firm size moderates the relationship between absorptive capacity and innovation as expected, indicating a relatively strong interaction. Second, firm size moderates the relationship between export orientation and innovation however, the estimated effect size is quite small as compared to the moderating effect of firm size on the relationship between absorptive capacity and innovation. Moderating effects of firm age, geography, and publication quality on all other pairwise relationships are not statistically significant; however, we attribute these results to small sample sizes that constrain the moderator analysis.
DISCUSSION
Managerial and Policy Implications
Our meta-analysis has several managerial and policy implications. First, our interpretation of the large positive correlation between innovation and financial performance is twofold. On the one hand, wine firms with higher financial performance may be more likely to allocate their resources to innovation activities than those with lower financial performance. On the other, innovation activities may lead to higher financial performance either directly by granting a competitive advantage to the adopting firm or indirectly via its synergistic spillover and amplification effects. Either way, we believe that this preliminary result looks promising for both wine firms and researchers. Therefore, we encourage wine firms to consider engaging in innovative practices and collaborate with researchers, particularly in quantitative research projects.
Second, we find that wine firms that implement sustainable practices may also be more likely to engage in eco-innovation activities that support these sustainable practices. Eco-innovation, which already constitutes a significant portion of innovation activities in the wine industry, is expected to grow in the near future due to various internal and external factors. Therefore, we suggest that wine firms should invest their resources primarily in eco-innovation activities.
Third, we recommend that wine firms consider adopting emerging industry 4.0 technologies to enhance their existing innovation activities. Besides increasing efficiency of operations, these technologies may accelerate innovations by enabling real-time data collection and monitoring (i.e., RFID tags, sensors).
Fourth, our meta-analysis reveals that innovation usually takes place in firms with higher absorptive capacities and successful implementations of innovative practices have the potential to enhance the absorptive capabilities of wine firms. Therefore, we recommend wine firms that would like to compete on innovation invest in their absorptive capacities by training their existing HR, employing highly skilled employees, increasing R&D activities, establishing links with colleges and research institutions, and patenting innovative ideas.
Fifth, larger firms may be more advantageous in innovation than smaller ones due to their potentially higher absorptive capacities; however, this result should not discourage small firms from engaging in innovative practices. On the contrary, it should encourage them because competing on innovation may be a critical strategy that leverages small firms against large wine firms in the harsh competition, which gets more challenging as new firms join. From this perspective, small wine firms should see innovation as a matter of survival rather than a choice.
Sixth, export-oriented wine firms may be more open to innovation since they typically employ a more diversified and highly skilled workforce with considerable exposure to international standards. External openness may increase their situational awareness, responsiveness to external competitive factors and innovative trends, and willingness to cooperate with research institutions. Therefore, we suggest that wine firms that consider competing on innovation diversify their customer base by entering new markets, employ experts with international experience, and increase their visibility by participating in international competitions and academic conferences.
Finally, our meta-analysis points out a scarcity of quantitative articles focusing on innovations by U.S. wine firms. Most U.S. wine business studies are qualitative papers (i.e., literature review, review, commentary, or descriptive studies). As discussed in the Introduction section, researching innovation in the wine industry is already challenging due to the peculiar characteristics of the wine industry. SMEs dominate the U.S. wine industry with a high concentration of family ownership that prioritizes tradition over innovation. Despite the existing business and knowledge networks, the U.S. wine industry is fragmented, and innovation activities are perceived as business secrets due to high competition. All these factors limit the exchange of information (primarily tacit). In these types of business structures, trust plays a vital role. Quantitative research requires data. Wine firms do have the data. Research collaborations’ role in promoting innovation is well established in other sectors (although the link between research institutions and wine firms remains an open question in the wine industry, we believe there is value in research partnerships). Since establishing trust is critical to enable such collaboration, researchers need to convince wine firms that the proposed research will benefit the firm and its outcomes. Some of our findings (i.e., positive association between innovation and financial performance) might be used to justify that. On the other hand, wine firms should accept some risks to realize the potential value of research collaborations. In time, mutual understanding and trust would lead to a virtuous cycle in which wine firms and researchers prosper.
Suggestions for Future Research
Aside from presenting the big picture of academic studies in a particular field, systematic literature reviews contribute to the research efforts by identifying major gaps and strategically directing future research questions. In addition to variants and extensions of already existing studies, we identify eight research gaps. We discuss how future quantitative, qualitative, and interdisciplinary studies may contribute to the innovation-related wine business literature.
Quantitative Studies
Impact of collaboration between wine firms and research institutions on innovation. Our systematic literature review reveals a shortage of quantitative studies exploring the link between innovation and collaboration with research institutions. We could find only three studies in this area, one of which (Giuliani & Arza, 2009) provides country-dependent mixed results, as discussed earlier. As the number of studies that report effect sizes from different populations increase, the relationship will be clearer.
Investigation of the link between patent ownership and innovation. We also find a shortage of academic studies that examine the relationship between patent ownership and innovation. The only two studies considering patent ownership in our study pool are Presenza et al. (2017) and Choi & Gu (2020). Although wine patents are abundant, the actual impacts of these patents on both wine innovation efforts and financial performance remain unclear. Accessing patent data has never been easier, thanks to the U.S. and EU patent offices. However, researching the impacts of patents on innovation and wine firm performance is challenging for two reasons. First, patents are typically kept as business secrets by wine firms. Second, this type of research requires the identification of specific links between individual patents and their short-, medium-, and long-term impacts on innovation and firm performances, which is somewhat problematic. We recommend future quantitative studies to take on this challenge.
Examination of impacts of other variables on innovation. Finally, we suggest future quantitative studies to focus on the impacts of other potential variables on innovation, such as proximity, corporate social responsibility, national and international regulations, R&D subsidies or tax cuts by governments, competitive pressures from stakeholders, and managers’ perceptions regarding innovation. Another research direction is to investigate how climate change stimulates/facilitates innovation efforts with significant implications on financial success. Although there are articles in the literature investigating the impacts of these variables, the number of studies is not sufficient for a meta-analysis.
Using meta-analytic structural equation modeling (MASEM). A possible extension of our meta-analysis is to perform MASEM, to investigate the relationships between different constructs that we use/mention in this study, innovation, and financial performance. MASEM combines the powers of the classical meta-analytic approach and SEM, enabling testing hypotheses by fitting structural equation models on a sample of effect sizes. To the best of our knowledge, there is no MASEM study on wine innovation yet.
Qualitative Studies
Providing a clear definition and classification of innovation in the wine industry. The qualitative research studies reviewed here have provided some unique perspectives of wine innovation from producers worldwide. Still, the research to date has provided little innovation knowledge that may be applied in existing wine businesses, so much more specificity is needed. The studies have highlighted wine producers’ key concerns and interests in organic methods (Karagiannis & Metaxas, 2020; Signori et al., 2017), organic certifications (Ouvrard et al., 2020), and the need for combining traditional methods with new technologies (Vrontis et al., 2016) as ways to innovate in the area of wine production. Going forward, future studies might provide more detail about these innovations that may be useful to winemakers for application. One notable exception is the work of Soceanu et al. (2020), whose experimental study described how wine industry by-products may be sold to various industries to reduce waste and enhance financial performance at the same time.
Organic and sustainability interests were also exhibited in quite a few studies that addressed product innovation, but most likely due to competitive concerns, there was very little specificity about product innovation; topics included new varietals and entry-level wines (Ouvrard et al., 2020), new packaging (Signori et al., 2017), and greater product variety to include organic products (Vrontis et al., 2011). Last, only a few qualitative studies have supplied marketing/communication and organizational innovation findings. (Humphreys & Carpenter, 2018) suggest a focus on competing by gaining market influence rather than satisfying consumers, while (Vrontis et al., 2016) addressed in a one-firm case study how a family used only family members’ promotions rather than traditional mass communication channels. Similarly, little is known about organizational innovations other than potential changes to cultures and structures that may increase competitiveness by allowing for connections with competitors (Signori et al., 2017) and knowledge sharing and integration between family generations (Woodfield & Husted, 2017).
Comparative investigation of wine innovation before, during, and post-COVID-19. COVID-19 has placed considerable tension on wine supply chains. Many wine firms have faced challenges, such as finding seasonal workers to harvest grapes, decreased cellar-door visits due to restriction on mobility, shifts in consumer behavior (i.e., online shopping), change in sales channels (shift from on-premise to off-premise), and reduction in logistic capacities.Cardebat et al. (2020), for instance, discuss some of these challenges and provide preliminary analysis on the impact of the pandemic on fine wine markets. Similarly, Vergamini et al. (2020) distinguish short- and long-term implications of the pandemic on the wine industry and argue that in the short-term, wineries that rely on tourism are likely to be negatively affected most. In the long run, large firms will be affected less due to their market power. We suggest that future qualitative studies conduct similar comparative analyses to identify lessons learned and draw practical insights. As more data becomes available, comparative studies would provide more value to research and practice.
Interdisciplinary Sudies
Innovation is an interdisciplinary process. One way that wine researchers may contribute to the literature is to collaborate with researchers from other disciplines. Although there are countless interdisciplinary collaboration opportunities, we point out two of them here, operations management (OM) and supply chain management (SCM). We believe that both disciplines may provide significant value to innovation-related wine research.
Application of operations management (OM) methodologies. The pandemic has significantly changed consumer preferences. As online sales and home delivery have gained traction, the need for novel operational solutions (i.e., transportation, inventory management, and home delivery scheduling) have increased. In this regard, we argue that wine business literature should take better advantage of OM techniques, such as process simulation and online appointment scheduling. Data-driven and prescriptive OM methods may help wine researchers make informed policy recommendations to practitioners. For instance, wine researchers may collaborate with OM researchers to develop process simulation models to test the potential impacts of candidate innovations on firm performance by running various what-if scenarios. Similarly, OM and wine researchers may collaborate to investigate possible benefits of online appointment scheduling methodologies to schedule home deliveries, as well as on-site and online wine tasting sessions, which have become popular during the pandemic. Another interdisciplinary research avenue is to investigate the impact of machine learning-based recommender engines that make real-time customized online wine recommendations to online wine customers. Recommender engines may serve as critical tools for wine firms that seek to increase their online visibility by promoting their wine to targeted wine drinkers based on their preferences. In this regard, we believe that collaboration with OM researchers would accelerate research on wine innovation and provide practical value to the industry.
Exploration of the role that innovation plays in improving supply chain resilience. Supply chain resilience has gained traction during the pandemic, after many tightly optimized beverage chains had failed to respond to shifts in consumer preferences, such as the increase in off-premise (particularly online) and decrease in on-premise sales (Vergamini et al., 2020). One way to improve wine chain resilience is innovation. For instance, blockchain technology can be used to monitor the whole lifecycle of wine from the winery to the table, ensuring real-time traceability and prevent counterfeiting (Danese et al., 2021), and smart vending machines with age verification features may increase wine availability during lockdowns. Automation may decrease reliance on seasonal labor to harvest grapes, and electronic tongues and noses may be used to inspect wine quality (Rodrı́guez-Méndez et al., 2016). We invite supply chain researchers to collaborate with wine researchers, studying what roles innovation may play in improving wine chain resilience.
CONCLUSION
Measuring innovation in the wine industry is hard not only due to broad, abstract, and ambiguous connotations of the term “innovation” but also owing to peculiar characteristics of the wine industry, which complicate data collection, model building, and analysis. Moreover, innovation activities are often seen as business secrets, which considerably limits the exchange of information among firms and with researchers, slowing down the diffusion of innovation within the wine industry. Despite these challenges, innovation may provide significant value to the industry; however, wine researchers need to convince practitioners that innovation may lead to competitive advantage and bring financial success. We believe that as both the quantity and quality of innovation-related wine research improves, the role that innovation plays in the wine industry would be clearer.
In this study, we provide a systematic review of the relevant wine business literature that consists of 76 studies published since 1991. While providing a narrative review of qualitative studies to identify common wine innovation types and forms, we perform a meta-analysis on the quantitative studies that report usable/convertible effect sizes for pairwise relationships between six commonly used variables (i.e., absorptive capacity, technology adoption, sustainable practices, export orientation, firm size, and firm age) and innovation, as well as the association between innovation and financial performance. Our analysis reveals that absorptive capacity, technology adoption, sustainable practices, export orientation, and firm size are positively correlated with innovation efforts, and innovation is positively associated with financial performance. Furthermore, we find that firm size moderates the relationship between absorptive capacity and innovation. We discuss several managerial and policy implications of our analysis and make a series of recommendations for future research avenues.
Our managerial recommendations include 1) engaging in innovative practices and collaborating with researchers, particularly in quantitative research projects, 2) prioritizing eco-innovation activities, 3) adopting emerging industry 4.0 technologies, 4) investing in absorptive capacity, 5) increasing export-orientation and international visibility.
We suggest future quantitative studies to explore the impacts of 1) links to research institutions, 2) patent ownership, 3) and other variables, such as proximity, corporate social responsibility, national and international regulations, R&D subsidies by governments, competitive pressures from stakeholders, and the managerial perceptions regarding innovation and financial performance. We also recommend researchers consider conducting MASEM, which currently does not exist in the literature. We recommend future qualitative research efforts to focus on clearly defining and classifying innovation in the wine sector and comparing the performances of wine supply chains before, during, and after the pandemic to exemplify how innovation has helped wine firms recover from disruptions caused by the pandemic. Finally, to mitigate the negative impacts of the recent pandemic on wine supply chains, we suggest that wine business research should benefit from interdisciplinary studies more, particularly with operations management and supply chain management fields.
This study has two main limitations. First, our meta-analysis relies on a relatively small number of effect sizes. As the number of studies in wine innovation increases, we expect a meta-analytic approach to provide a better picture of investigated relationships. Second, we convert certain effect sizes into Pearson correlation coefficients using some approximations, which increase prediction error. We suggest future quantitative studies to report correlation matrices. This would eliminate the need for effect size conversions and reduce errors in meta-analysis.








